Güncel
13 Mayıs 2018 - 10:00
Güncelleme: 13 Mayıs 2018 - 10:00

SAHABİYE´DE

2.ETAP UZLAŞMA GÖRÜŞMELERİ BAŞLIYOR

SAHABİYE´DE
Haberi Sesli Oku

Büyükşehir Belediyesi tarafından yapılan ve birinci uygulama etabı inşaatı hızla devam eden Sahabiye Kentsel Dönüşüm Projesi´nde 2. Uygulama Etabı´nın uzlaşma görüşmeleri başlıyor. 2. Etap´ta yer alan hak sahipleri 28 Mayıs´tan itibaren uzlaşma görüşmelerini yapabilecek. 

Sahabiye Kentsel Dönüşüm Projesi 2. Uygulama Etabında uzlaşma görüşmeleri 28 Mayıs 2018 tarihinde başlayacak. Vatandaşların kentsel refah ve yaşam kalitesini artıracak olan; huzurlu ve güvenli, sosyal alanları bulunan; şehrimize mimari ve sosyal anlamda değer katacak dönüşüm projesinin 2. uygulama etabı Bakanlar Kurulu Kararı ile 11 Nisan 2018 tarihinde Resmi Gazete´de yayımlanarak yürürlüğe girdi. 

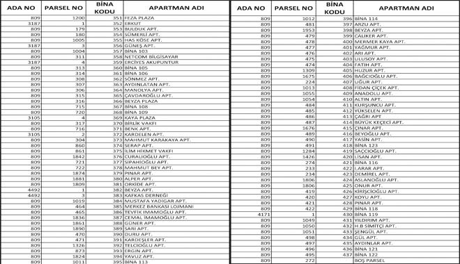
Projenin 2. Uygulama Etabı; Açık Sokak, Boylar Sokak, Yıldırım Caddesi ile Prof. Fevzi Fevzioğlu caddesi arasında kalan alan olacak. 1. uygulama etabının devamında, risk taşıyan binaların yoğunlaştığı bu bölgede, yaklaşık 42 bin metrekarelik alanda 87 adet bina ve bu binalarda 515 adet konut, 51 adet işyeri olmak üzere toplam 566 adet bağımsız bölüm bulunuyor. 2. Uygulama Etabında bulunan tüm hak sahipleri 28 Mayıs 2018 tarihinden itibaren Büyükşehir Belediyesi, Kentsel Dönüşüm Daire Başkanlığı, Sahabiye Kentsel Dönüşüm Uzlaşma Ofisi´ne başvuru yapabilecekler. 

Haber Kaynak : KURUM BÜLTENİ
Anahtar Kelimeler: SAHABİYE

Melikgazi'de bahçe bakım kursu düzenlenecek

Melikgazi İlçe Tarım ve Orman Müdürlüğü 9-13 Şubat tarihlerinde ''Topraktan Sofraya Kapsamlı Bahçe Bakım Kursu'' düzenleyecek. Detaylar Kayseri Haber'de...

Spor A.Ş. madalyaları topladı

Spor A.Ş. okçulukta madalyaları topladı. Detaylar Kayseri Haber'de...

Kayseri'de bu hizmet öğrencilerin favorisi oldu!

Bir yıl boyunca aralıksız sürdü, milyonlara ulaştı, gençlerin gündeminden düşmedi. Detaylar Kayseri Haber'de...

Tamirden çıkan otomobil çalıştırılınca alev aldı

Kayseri’nin Kocasinan ilçesinde iddiaya göre oto tamircisinde tamir edildikten sonra eve getirilen ve ısıtmak amacıyla çalıştırılan otomobil alev aldı. Yangın, itfaiye ekiplerinin müdahalesiyle büyümeden söndürüldü.

Kayserispor U19, deplasmanda ağır mağlubiyet aldı

Türkiye Futbol Federasyonu Gelişim Ligleri U19 18. hafta karşılaşmasında Kayserispor U19, deplasmanda Beşiktaş U19 ile karşı karşıya geldi.

Bakan Tunç açıkladı: Atlas Çağlayan cinayetinde şüpheli tutuklandı

İstanbul’da Atlas Çağlayan’ın bıçaklanarak öldürülmesine ilişkin soruşturmada önemli bir gelişme yaşandı. Adalet Bakanı Yılmaz Tunç, cinayet şüphelisi ile aileyi tehdit eden 3 kişinin tutuklandığını duyurdu.

Sergen Yalçın’dan taraftarlara transfer mesajı: “Cuma gününe kadar 2 oyuncu gelebilir”

Beşiktaş Teknik Direktörü Sergen Yalçın, Kayserispor galibiyeti sonrası transfer sürecine değinerek, “Direkt katkı sağlayacak oyuncular istiyoruz. Cuma gününe kadar 1 stoper ve 1 sol bek gelme ihtimali yüksek” dedi.

Kayseri’de salı günü semt pazarları nerelerde kurulacak? (20 Ocak Salı)

Kayseri’de salı günü kurulacak semt pazarları belli oldu. Vatandaşların taze ve uygun fiyatlı ürünlere ulaşabildiği pazarlar, kentin farklı noktalarında hizmet verecek. İşte bugün açık olacak pazar yerleri…

Kayseri namaz vakitleri (20 Ocak Salı)

20 Ocak 2026 tarihine ait Kayseri namaz vakitleri belli oldu. Diyanet İşleri Başkanlığı tarafından yayımlanan günlük takvime göre Kayseri’de bugün imsak, güneş, öğle, ikindi, akşam ve yatsı namazı saatleri netleşti.

Djalovic’ten maç sonu transfer mesajı!

Kayserispor Teknik Direktörü Radomir Djalovic, Beşiktaş maçının ardından hem kaçan golleri değerlendirdi hem de transfer sürecine değinerek, “1-2 oyuncuya daha ihtiyacımız var” dedi. Detaylar Kayseri Haber'de...

Kayseri’de saatlik hava durumu: Kar ve soğuk hava etkili olacak

Kayseri’de gece saatlerinden itibaren kar yağışı ve dondurucu soğuk etkisini artıracak. Meteoroloji verilerine göre sıcaklık -13 dereceye kadar düşerken, don ve buzlanma riski öne çıkıyor. Detaylar Kayseri Haber'de...

Kayserispor'un 2 yeni transferi ilk kez forma giydi

Kayserispor'un devre arasında kadrosuna kattığı Görkem Sağlam ve Semih Güler, Beşiktaş maçının ikinci yarısı oyuna girerek, ilk kez süre aldı. Detaylar Kayseri Haber'de...

Kayseri’de masaj salonları mercek altında

Kayseri İl Emniyet Müdürlüğü ekiplerince il genelinde masaj salonlarına yönelik denetimler düzenlendi. Detaylar Kayseri Haber'de...

Kayserispor, Beşiktaş deplasmanında son dakikada yıkıldı (1-0)

Trendyol Süper Lig’in 18. haftasında Kayserispor, deplasmanda Beşiktaş ile karşı karşıya geldi. Ligin ikinci yarısına zorlu Beşiktaş deplasmanında başlayan sarı-kırmızılı temsilcimiz, sahadan 1-0 mağlubiyetle ayrıldı.

Başkan Yağan sahaya indi: Mahsur kalan sürücüleri yalnız bırakmadı

Kayseri’nin Pınarbaşı ilçesinde etkili olan yoğun kar yağışı ve tipi, ulaşımı olumsuz etkilerken Deniz Yağan sahaya inerek mahsur kalan vatandaşların yanında oldu. Detaylar Kayseri Haber'in Kayseri haberlerinde...

Develi’de sokak hayvanları unutulmadı

Kayseri’nin Develi ilçesinde, kış şartlarının etkisini artırmasıyla birlikte sokak hayvanları için anlamlı bir çalışma gerçekleştirildi.

LİG TABLOSU

Takım O G M B Av P
1.GALATASARAY A.Ş. 18 13 1 4 27 43
2.FENERBAHÇE A.Ş. 18 12 0 6 26 42
3.TRABZONSPOR A.Ş. 18 11 2 5 14 38
4.GÖZTEPE A.Ş. 18 10 3 5 14 35
5.BEŞİKTAŞ A.Ş. 18 9 4 5 9 32
6.RAMS BAŞAKŞEHİR FUTBOL KULÜBÜ 18 7 6 5 10 26
7.SAMSUNSPOR A.Ş. 18 6 4 8 2 26
8.GAZİANTEP FUTBOL KULÜBÜ A.Ş. 18 6 6 6 -6 24
9.KOCAELİSPOR 18 6 7 5 -3 23
10.CORENDON ALANYASPOR 18 4 5 9 0 21
11.GENÇLERBİRLİĞİ 18 5 9 4 -3 19
12.ÇAYKUR RİZESPOR A.Ş. 18 4 8 6 -6 18
13.TÜMOSAN KONYASPOR 18 4 8 6 -8 18
14.KASIMPAŞA A.Ş. 18 3 8 7 -10 16
15.HESAP.COM ANTALYASPOR 18 4 10 4 -15 16
16.ZECORNER KAYSERİSPOR 18 2 7 9 -18 15
17.İKAS EYÜPSPOR 18 3 10 5 -14 14
18.MISIRLI.COM.TR FATİH KARAGÜMRÜK 18 2 13 3 -19 9